Zurück zum Inhaltsverzeichnis

Addiererschaltungen

Mit Hilfe der Schaltnetze können nicht nur logische Verknüfungen realisiert werden. Es sind auch Rechnungen ausführbar.

Wichtig sind hierfür Addiererschaltungen, die wesentliche Schaltnetze in Computern, vor allem in Rechenwerken, sind.

Halbaddierer

Ein Halbaddierer (HA) ist ein Schaltnetz, das ohne Berücksichtigung von vorangegangenen Überträgen (carry) zwei einstellige Dualzahlen addiert. Dabei wird der entstehende Übertrag separat erzeugt.

Wahrheitstabelle eines Halbaddierers:

x_i y_i s_i c_i
0 0 0 0
0 1 1 0
1 0 1 0
1 1 0 1


Darstellung des Halbaddierers mit logischen Gattern:

Halbaddierer

Volladdierer

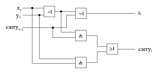
Volladdierer unterscheiden sich vom Halbaddierer dadurch, dass der vorangegangene Übertrag mitberücksichtigt wird.

Wahrheitstabelle eines Volladdierers:

x_i y_i c_i-1 s_i c_i
0 0 0 0 0
0 0 1 1 0
0 1 0 1 0
0 1 1 0 1
1 0 0 1 0
1 0 1 0 1
1 1 0 0 1
1 1 1 1 1


Darstellung des Volladdierers mit logischen Gattern:

Volladdierer

Mit Hilfe des Volladdieres können im Rechner zwei n-stellige Dualzahlen addiert werden. Hierfür benutzt man eine Kette von n Volladdierer. Bei der ersten Addition (i=0) wird der einkommende Übertrag (c_-1) auf 0 gesetzt.

Auch andere Rechenarten lassen sich mit dem Volladdierer realisieren. Die Subtraktion lässt sich auf eine Addition mit dem Zweierkomplement zurückführen. Mit Hilfe von zusätzlichen Schaltungen (Schieberegistern) kann man mit Addiererschaltungen auch multiplizieren und dividieren.

Zurück zum Inhaltsverzeichnis



Home Klick hier!





Copyright (C) 2005 Christian Herta. Alle Rechte vorbehalten! All rights reserved!